Modul 3
MODUL 3
OPERATIONAL AMPLIFIER
Operational Amplifier atau di singkat op-amp merupakan salah satu komponen analog yang sering digunakan dalam berbagai aplikasi rangkaian elektronika. Aplikasi op-amp yang paling sering dipakai antara lain adalah rangkaian inverter, non-inverter, integrator dan differensiator.
Op-amp pada dasarnya adalah sebuah differential amplifier (penguat diferensial) yang memiliki dua masukan. Input (masukan) op-amp ada yang dinamakan input inverting dan non-inverting. Op-amp ideal memiliki open loop gain (penguatan loop terbuka) yang tak terhingga besarnya. Seperti misalnya op-amp LM741 yang sering digunakan oleh banyak praktisi elektronika, memiliki karakteristik tipikal open loop gain sebesar 104 ~ 105.Penguatan yang sebesar ini membuat op-amp menjadi tidak stabil, dan penguatannya menjadi tidak terukur (infinite).Disinilah peran rangkaian negative feedback (umpanbalik negatif) diperlukan, sehingga op-amp dapat dirangkai menjadi aplikasi dengan nilai penguatan yang terukur (finite).
Impedasi input op-amp ideal mestinya adalah tak terhingga, sehingga mestinya arus input pada tiap masukannya adalah 0. Sebagai perbandingan praktis, op-amp LM741 memiliki impedansi input Zin = 106 Ohm. Nilai impedansi ini masih relatif sangat besar sehingga arus input op-amp LM741 mestinya sangat kecil.
- Mengetahui prinsip kerja dari Differentiator Amplifier
- Mengetahui prinsip kerja dari Integrator Amplifier.
- Mengetahui prinsip kerja dari Comporator Amplifier.
- Mengetahui prinsip kerja dari Inverting Amplifier.
- Mengetahui prinsip kerja dari Non Inverting Amplifier.
A. Alat
1. DC Power Suply
DC power supply, atau catu daya searah, adalah perangkat yang menyediakan tegangan listrik searah yang stabil dan dapat diatur untuk berbagai aplikasi elektronik. Kegunaannya meliputi penyediaan daya yang konsisten untuk pengujian dan pengembangan perangkat elektronik, seperti rangkaian sirkuit dan komponen. DC power supply juga digunakan dalam peralatan laboratorium untuk eksperimen dan analisis, serta dalam sistem elektronik yang membutuhkan tegangan tetap untuk beroperasi dengan benar. Dengan kemampuannya untuk mengatur dan mengontrol tegangan dan arus, DC power supply memastikan kinerja optimal dan keamanan dalam aplikasi elektronik, mendukung pengembangan dan pengujian berbagai teknologi.
2. Jumper
Jumper
Di bidang elektronika, jumper digunakan untuk menghubungkan atau memutuskan jalur pada papan sirkuit, memungkinkan konfigurasi dan penyesuaian pengaturan perangkat. Jumper sering dipakai untuk mengatur mode operasi, mengaktifkan atau menonaktifkan fitur, serta dalam proses troubleshooting dan pemeliharaan. Dengan kemudahan dalam pemasangan dan penggantian, jumper mempermudah perubahan konfigurasi tanpa perlu soldering, sehingga meningkatkan fleksibilitas dan efisiensi dalam pengembangan dan perawatan perangkat elektronik.
3. Multimeter

Multimeter adalah alat yang sangat berguna dalam pengukuran dan diagnostik elektronik, karena mampu mengukur berbagai parameter listrik seperti tegangan, arus, dan resistansi. Dengan kemampuan ini, multimeter memungkinkan teknisi dan insinyur untuk memeriksa dan menganalisis kondisi sirkuit elektronik, menemukan masalah atau kerusakan, dan memastikan komponen berfungsi dengan benar. Selain itu, multimeter sering digunakan dalam pemeliharaan dan perbaikan peralatan elektronik, memberikan data penting untuk perbaikan atau kalibrasi sistem. Fungsionalitas yang luas dan kemudahan penggunaan menjadikan multimeter sebagai alat penting dalam pengembangan, perawatan, dan troubleshooting perangkat elektronik.
B. Bahan
1. Modul Elektronika Analog Operational Amplifier
2. Resistor 1K, 10K, 560 ohm

Resistor
Resistor berfungsi untuk membatasi aliran arus listrik dalam rangkaian elektronik, melindungi komponen sensitif, dan mengatur tegangan. Dengan membagi tegangan dan arus, resistor membantu dalam pengaturan sinyal, filter, dan aplikasi lainnya. Fungsi ini memastikan kestabilan dan keandalan operasi sirkuit elektronik, mendukung berbagai perangkat dan sistem dalam kehidupan sehari-hari.
3. RS-A4 Elektronika Analog
Penguat operasional atau yang disebut Operational Amplifier adalah suatu rangkaian
terintegrasi yang berisi beberapa tingkat dan konfigurasi penguat diferensial. Penguat
operasional memiliki dua masukan dan satu keluaran, untuk dapat bekerja dengan baik,
penguat operasional memerlukan tegangan catu yang simetris, yaitu tegangan yang bernilai
positif (v+) dan tegangan yang bernilai negatif (v-) terhadap tanah (ground).
Berikut ini adalah simbol dari penguat operasional:
A. Differentiator Amplifier
Differentiator adalah amplifier yang menghasilkan output berupa turunan (diferensial) dari
sinyal input terhadap waktu. Alat ini digunakan untuk mendeteksi perubahan cepat dalam sinyal. Pada
rangkaian ini, op-amp memberikan output yang sebanding dengan laju perubahan sinyal input,
sehingga ideal untuk aplikasi yang membutuhkan deteksi perubahan mendadak. Differentiator sering
digunakan dalam sistem kontrol, pengolahan sinyal, dan deteksi sinyal berfrekuensi tinggi.
Integrator adalah amplifier yang menghasilkan output berupa integral dari sinyal input terhadap
waktu. Rangkaian ini mengumpulkan nilai sinyal input seiring waktu, menghasilkan sinyal kumulatif.
Sangat berguna untuk mengubah bentuk gelombang menjadi ramp atau gelombang halus, dan pada
dasarnya, menyaring frekuensi tinggi. Integrator banyak digunakan dalam pengendalian otomatis,
rangkaian filter, dan pengolahan sinyal.
Comparator atau komparator adalah jenis rangkaian amplifier operasional (op-amp) yang berfungsi
untuk membandingkan dua sinyal tegangan pada inputnya dan menghasilkan output dalam bentuk
tegangan tinggi atau rendah (logika digital), tergantung pada perbandingan tegangan tersebut.
Cara Kerja Comparator
- Comparator memiliki dua input: input inverting (-) dan input non-inverting (+).
- Jika tegangan pada input non-inverting (+) lebih besar daripada tegangan pada input inverting (-), maka output akan berada di kondisi tegangan tinggi (𝑉+ > 𝑉− = +𝑉 𝑠𝑎𝑡𝑢𝑟𝑎𝑠𝑖)
- Sebaliknya, jika tegangan pada input inverting (-) lebih besar daripada input non-inverting (+), maka output akan berada di tegangan rendah 𝑉+ < 𝑉− = −𝑉 𝑠𝑎𝑡𝑢𝑟𝑎𝑠𝑖)
D. Inverting Op-Amp
Inverting amplifier dapat mengontrol penguatan tegangan (voltage gain)
menggunakan Op-Amp. Sinyal input terhubung ke terminal negatif dan terminal positif
terhubung ke ground. Output diberi umpan balik melalui Rf ke input inverting.
Impedansi masukan yang tak terbatas mencegah arus mengalir melalui input
inverting. Hal ini berarti bahwa tidak ada penurunan tegangan antara input inverting dan
input non-inverting, dan tegangan pada input (-) inverting adalah 0 karena input non-
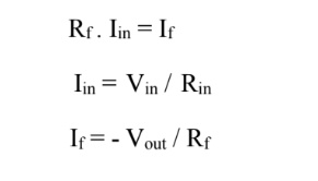
inverting (+) terhubung ke ground. Karena arus yang mengalir menuju terminal input
adalah 0, maka arus yang melalui Rin sama dengan arus yang melalui
Penguatan outputnya berbeda phasa 1800 dengan inputnya, jika input positif maka
output negatif.
Pada non-inverting amplifier input sinyal dihubungkan ke input (+) non-inverting dan
sebagian output kembali melalui jaringan feedback dan dihubungkan ke input pembalik(-).
Penguatan yang outputnya sama dengan input, tidak membalikkan fasa. Dikarenakan
feedback yang negatif, maka tegangan diferensial (Vdiff = Vin – Vf) antara terminal input
sangat kecil dan penguatan open loop tinggi (Aol).











Komentar
Posting Komentar